Transient Stability Dialog Options: Result Options
The Result Options sub-tab is found on the Options page of the Transient Stability Analysis dialog. The options on the Result Options determine how the results are stored during the simulation.
Time to Begin Checking for Minimum and Maximum Results
Minimum and maximum values for several bus and generator parameters are automatically stored during the analysis. This option determines when the recording of these minimum and maximum values should begin.
If you choose After last event, then the recording of minimum and maximum results will start after the last transient contingency element is processed for the simulation. This is the most common option and is used to prevent the recording of very low voltages during a fault event from being recorded as the minimum result when you are really only concerned with how the voltages recover after the fault clears.
If you choose Immediately, then the minimum and maximum result recording will start at the beginning of the simulation.
If choosing to use a Custom Time, a field will appear that will allow entry of a specific time in seconds when recording should begin.
Time to Begin Checking for Limit Monitors Results
This option determines when the recording of the Limit Monitor Results values should begin.
If you choose After last event - Time after last event, then the recording of limit monitor results will start after the last transient contingency element is processed and a specific time after that can be specified.
If you choose Immediately, then thelimit monitor result recording will start at the beginning of the simulation.
If choosing to use a Custom Time, a field will appear that will allow entry of a specific time in seconds when recording should begin.
Angle Reference Options
Note: if infinite buses are being modeled as part of the Power System Model options, this option is not used and the fixed angle at infinite bus is automatically used as the reference.
Generator Rotor Angles in a transient stability simulation are calculated with respect to what is called the synchronous reference frame. The synchronous reference frame represents how the angles would move with respect to a theoretical rotating reference frame based on the system nominal frequency. When a transient stability simulation converges to a new steady state frequency which is higher than nominal frequency, then inherently the rotor angles as expressed in this synchronous reference frame will continue to increase toward infinity. This will not indicate instability as long as the angles in relation to one another converge upon a new steady state.
The use of the synchronous reference leads to the angle reference option. This option specifies a reference which will be used to calculate an angle reference at each time step in a simulation. This angle reference will be calculated across the entire system. The generator field Rotor Angle recorded at a particular time in the results will then be equal to this system angle reference subtracted from the rotor angle on the synchronous reference frame. (Note: normally an angle reference option should be chosen because the generator rotor angle in the synchronous reference frame may be stored as an independent result variable called Rotor Angle, No Shift, which is distinct from the Rotor Angle.)
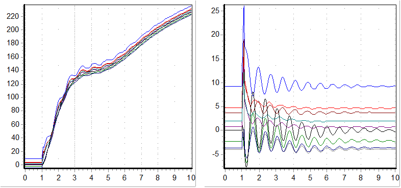
When looking at a plot of rotor angles in the synchronous reference frame, the plot may look as shown on the left below. If a angle reference option is chosen, then when plotting generator rotor angles, the plot will instead look as shown on the right. Both plots show the same system, but the plot on the right more clearly shows that the system is stable. Here is a link with a detailed explanation of the angle reference and other type of angles available in PowerWorld.
The options for angle reference are as follows
- Average of Generator Angles : reference equals the straight average of all rotor angles in the system
- Weighted Average of Generator Angles : reference equals the average of all rotor angles in the system weighted by each generators MVA base.
- Specified Angle Reference Generator Terminal Angle: the terminal bus angle of the generator specified on the dialog as the Angle Reference Generator will be used.
- Specified Angle Reference Generator Internal Angle: the internal bus angle of the generator specified on the dialog as the Angle Reference Generator will be used.
- Synchronous Reference Frame (No Angle Shift) : no reference angle is used so all rotor angles are reported on the synchronous reference frame.
Angle Reference Generator
This option must be set if the option for Angle Reference Option is set to one of the choices for using a specific generator.
Initialize with Reference Angle at Zero
This initializes the reference angle, regardless of the method selected for determining the reference angle, to zero at the beginning of the analysis. In practice this is done by recording the starting reference angle. At each time step the reference angle is determined and then this is offset by subtracting the original reference angle value from the current reference angle value and this new value becomes what is used as the reference angle at each time step.
When choosing a generator as the Angle Reference which is presently out-of-service, or is not a synchronous machine, and choosing to use an angle reference which uses that generator, Simulator will now create a validation warning alerting you of the problem. The simulation will still run, but the angle reference will be the Synchronous Reference Frame (No Angle Shift) instead of your choice
Do not store Events during simulation
This option must be check to not store events during the simulation.
Do not store Solution Details during simulation
This option must be check to not store the solution details during the simulation.
Result Event Reporting
This option let the user select where the Transition, Model Trip and Relay Trip messages will be shown.
The options to Where to Report are: Both Log and Event, (massages log and Events table in simulator) or Event Only, Not Log ( onlye in the Events table in simulator). The event